Ang mga pagkakamali ng transpormer ay maaaring nahahati sa mga panloob na pagkakamali at panlabas na mga pagkakamali.
Ang mga internal fault ng transformer ay tumutukoy sa mga pagkakamali na nangyayari sa tangke ng langis ng transformer, kabilang ang phase-to-phase na short circuit ng bawat winding, inter-turn short circuit ng winding, short circuit fault sa pagitan ng winding at iron core, single-phase grounding fault ng single-phase winding o lead-out wire na dumadaan sa shell, winding disconnection fault, atbp. Transformer external faults ay tumutukoy sa iba't ibang fault na nangyayari sa external insulating bushing ng tangke ng langis ng transformer at mga lead-out na wire nito, kabilang ang single-phase grounding short-circuit at phase-to-phase short-circuit sa pagitan ng lead-out na mga wire na dulot ng flashover o sirang insulating bushing.
Bilang karagdagan, mayroong ilang mga hindi normal na kondisyon ng pagtatrabaho ng transpormer, pangunahin kabilang ang mababang antas ng langis, mataas na temperatura o presyon ng langis, mataas na transpormer na neutral na boltahe ng punto, labis na karga, overcurrent, overexcitation, atbp.

Upang masubaybayan ang iba't ibang mga pagkakamali o hindi normal na kondisyon sa pagtatrabaho, nag-set up kami ng iba't ibang mga proteksyon, na nahahati sa pangunahing proteksyon at backup na proteksyon, at ang pangunahing proteksyon ay may mabilis na mga katangian ng pagkilos.
Bahagi 2: Differential na proteksyon
Ang longitudinal differential protection ay isa sa mga pangunahing proteksiyon ng transpormer, at ang proteksyon ay agad na gumagana upang i-trip ang mga switch sa bawat panig. Ang lugar ng proteksyon ay ang bahagi sa pagitan ng kasalukuyang mga transformer sa bawat panig ng proteksyon ng kaugalian, kabilang ang katawan ng transpormer, ang mga lead-out na linya sa pagitan ng kasalukuyang transpormer at transpormer. Noong 2017, ang arrester sa 35kV side ng No. 2 main transformer ng 220kV substation ay nagkaroon ng AB phase flashover, at ang arrester chassis ay nasira sa pamamagitan ng discharge; dahil ang 35kV arrester ay matatagpuan sa pagitan ng rheological transpormer at ang pangunahing transpormer sa mababang boltahe na bahagi ng pangunahing transpormer, ito ay nasa loob ng saklaw ng proteksyon ng longitudinal na pagkakaiba. Ang dalawang hanay ng mga pangunahing proteksyon ng transpormer ay kumilos nang tama, at ang kasalanan ay nahiwalay.
01
Pangunahing lohika ng proteksyon sa kaugalian
Ang umiiral na transpormer na longitudinal differential protection ay gumagamit ng microcomputer protection device, at ang kasalukuyang ng bawat phase ay pumapasok sa proteksyon device ayon sa pagkakabanggit, at ang longitudinal differential protection ay natanto ng software algorithm. Kumuha kami ng isang yugto bilang isang halimbawa upang ilarawan ang pangunahing prinsipyo ng longitudinal differential protection.
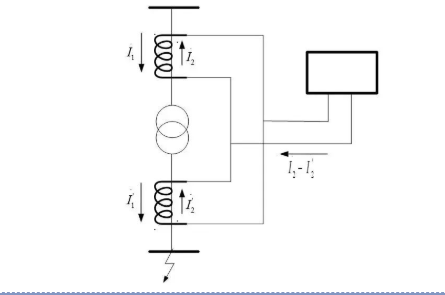
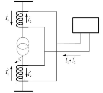
Ang differential current na "nadama" ng protective device ay ang vector sum ng pangalawang alon ng dalawang coils. Tulad ng ipinapakita sa Figure 1, kapag ang system ay gumagana nang normal o short-circuited sa labas, ang pangalawang alon ng dalawang coils ay pareho sa laki at kabaligtaran sa polarity, at ang differential current ay 0, at ang proteksyon ay hindi gumagana sa sa pagkakataong ito. Tulad ng ipinapakita sa Figure 2, kapag nangyari ang isang ground fault sa loob ng saklaw ng proteksyon, ang mga pangalawang alon ay pantay sa laki at polarity, at ang differential current ay ang kabuuan ng mga pangalawang alon. Kapag naabot ang differential start value, gumagana ang proteksyon.


Sa batayan ng rheological secondary coil connection method sa itaas, ang longitudinal differential protection ay nagdaragdag ng phase adjustment, zero-sequence current elimination, at amplitude conversion sa kasalukuyang mga vector sa iba't ibang panig upang bumuo ng differential current na paraan ng pagkalkula, at pagkatapos ay ipinakilala ang ratio braking kurba ng katangian. Binubuo ang pangunahing lohika ng proteksyon.
Ang pagkuha ng YN-d11 wiring bilang isang halimbawa, ang wiring diagram at kasalukuyang phasor diagram ay ipinapakita sa Figure 3. Makikita na dahil may 30° angle difference sa pagitan ng high at low side phasors, ang vector sum ng dalawang currents ay hindi 0 sa panahon ng normal na operasyon, at ang phase conversion ay kinakailangan muna. Pagkatapos ng conversion, ang mataas at mababang bahagi ng parehong yugto ay may parehong yugto.

Mayroong dalawang paraan ng phase conversion, ang isa ay batay sa Y side, upang ang d-side current phase ay pare-pareho sa Y-side kasalukuyang phase, na tinutukoy bilang "angle star", ang pinakakaraniwang angle star protection ay Narui Jibao RCS-978 atbp., ang conversion formula ay:

Ang isa ay batay sa gilid d, upang ang kasalukuyang yugto ng panig ng Y ay pare-pareho sa panig ng d, na tinutukoy bilang "anggulo ng pag-ikot ng bituin". Karamihan sa mga kasalukuyang device na proteksyon ay gumagamit ng paraan ng anggulo ng pag-ikot ng bituin, at ang formula ng conversion ay:

Ang layunin ng zero-sequence current elimination ay upang maiwasan ang maling operasyon ng longitudinal differential protection. Para sa YN-d wiring, kapag may ground fault sa labas ng high-voltage side, ang zero-sequence current ay dumadaloy sa high-voltage Y side, ngunit walang zero-sequence current sa low-voltage d side, at ang zero -sequence currents sa magkabilang panig ay hindi mabalanse, kaya ang differential protection ay hindi gumana . Sa mode ng conversion na "star rotation angle", ang pagkakaiba sa pagitan ng dalawang alon pagkatapos ng phase shift sa Y side ay na-filter ang zero current, kaya walang mga hakbang na kailangang gawin. Sa "angle-to-star" na conversion mode, ang zero-sequence na kasalukuyang kompensasyon ay ginagawa sa Y-side current vector, at ang compensation formula ay:

Dahil sa pagkakaiba sa ratio ng pagbabagong-anyo ng transpormer at ang ratio ng rheolohikong pagbabagong-anyo ng bawat panig, ang pangalawang amplitude ng kasalukuyang kaugalian sa bawat panig ng transpormer ay hindi maaaring magkapareho sa panahon ng normal na operasyon o panlabas na kasalanan. Sa oras na ito, kinakailangan na magsagawa ng amplitude conversion, kunin ang kasalukuyang halaga sa isang panig bilang isang sanggunian, kalkulahin ang koepisyent ng balanse sa kabilang panig ayon sa boltahe sa magkabilang panig at ang rheological ratio, at i-multiply ang kasalukuyang sa kabilang panig. tabi ng koepisyent ng balanse, upang ang panloob na pagkalkula ng Differential flow ng device ay 0.
Upang higit pang mapagbuti ang pagiging sensitibo sa pagkilos sa kaso ng mga panloob na pagkakamali at mapagkakatiwalaang maiwasan ang hindi balanseng kasalukuyang ng mga panlabas na pagkakamali, ang longitudinal differential protection ay gumagamit ng isang elemento ng kaugalian na may curve na katangian ng pagpepreno ng ratio. Ang vertical axis ng ratio braking curve ay ang differential current, ang horizontal axis ay ang braking current, ang itaas na bahagi ng curve ay ang action area, at ang lower part ay ang braking area. Ang mga umiiral na curve na katangian ay pangunahing nahahati sa dalawang uri: dalawang-segment na broken-line na uri at tatlong-segment na broken-line na uri.
Ang two-segment broken-line ratio braking curve ay ipinapakita sa kaliwang figure ng Figure 4. Ang curve ay maaaring ABC type na dumadaan sa pinanggalingan, o ABD type na hindi dumadaan sa origin. Karamihan sa mga device ay uri ng ABC.

Ang three-segment broken-line ratio braking curve ay ipinapakita sa kanang figure ng Figure 4, na maaaring hatiin sa dalawang uri, ang isa ay ang pahalang na linya para sa AB segment, at ang isa ay ang pahilig na linya para sa AB segment. Kasama sa kagamitan na may pahalang na linya sa seksyong AB ang Guodian Nanzi PST-1200U, RET-316 ng ABB, Xuji WBH-801 at SEL-387, at ang kagamitan na may pahilig na linya sa seksyong AB ay kinabibilangan ng Sifang CSC-326, Shenrui PRS -778 at South Swiss RCS-978.
02
Paano suriin ang proteksyon ng pagkakaiba
Ang pag-verify ng proteksyon ng longitudinal differential protection ay isinasagawa ayon sa curve ng katangian ng pagpepreno ng ratio, gumagana ang proteksyon sa itaas ng curve, at ang proteksyon sa ibaba ng curve ay hindi gumagana:
1) Pumili ng isang punto. Pumili ng 3-5 puntos para sa longitudinal differential protection verification, ang unang punto ay pinili sa vertical axis ng Figure 4 upang i-verify ang minimum na operating kasalukuyang Iop.min; ang pangalawa at pangatlong punto ay pinili sa punto ng inflection upang i-verify ang kasalukuyang punto ng inflection na Ires; bilang karagdagan, Pumili ng isang punto sa bawat slope upang i-verify ang slope.
2) Kalkulahin ang halaga. Kalkulahin ang kasalukuyang halaga ng pagsisimula, koepisyent ng balanse, at balanse ng bawat panig ng transpormer; pagkatapos ay kalkulahin ang kasalukuyang magnitude at phase angle ng bawat panig ng bawat check point ayon sa ratio ng braking curve ng device.
3) I-verify ang curve. Ilapat ang fixed variable method para ayusin ang isang current sa check point at baguhin ang laki ng isa pang current, para ilipat ang check point pataas at pababa sa action area at braking area para ma-verify kung gumagana nang tama ang protection device.
03
Mga pantulong na bahagi para sa proteksyon sa kaugalian
Upang gawing mas maaasahan ang differential protection, ang lohika ng proteksyon ay nagsasangkot din ng mga bahagi tulad ng pagsisimula, mabilis na break, at lock:
1) Panimulang elemento: Kasama sa panimulang variable ang maximum na halaga ng three-phase differential current, ang halaga ng kasalukuyang mutation, atbp. Kapag ang panimulang variable ay mas malaki kaysa sa anumang panimulang halaga, bubuksan ng proteksyon device ang differential protection.
2) Differential quick-break na elemento: Sa isang mataas na antas ng kasalukuyang short-circuit, dahil sa saturation ng kasalukuyang transpormer, ang pangalawang harmonic ay bumubuo ng isang malaking braking torque at ang differential element ay tumangging gumalaw. Upang maiwasan ang pagtanggi sa proteksyon, ang isang differential quick-acting na elemento ay naka-install sa device. Kapag ang short-circuit current ay umabot sa 4~10 beses sa rate na kasalukuyang, ang mabilis na kumikilos na elemento ay mabilis na gumagalaw sa outlet. Bilang karagdagan, upang maiwasan ang maling pagkilos ng proteksyon dahil sa hindi pagkakapare-pareho ng mga lumilipas na katangian ng kasalukuyang mga transformer sa bawat panig kapag mayroong isang malaking short-circuit kasalukuyang, ang mga kaugnay na katangian ng kasalukuyang mga transformer sa bawat panig ng kaugalian proteksyon ng mga pangunahing kagamitan kabilang ang mga transformer ay dapat na pare-pareho (Labing-walo Countermeasures 15.1. 10). Ang mataas na boltahe na bahagi ng No. 2 pangunahing transpormer ng isang substation ay konektado sa pangalawang string ng 2/3 na mga kable, at ang string na ito ay konektado sa isa pang linya ng kurbatang; noong 2017, isang single-phase ground fault ang naganap sa phase B ng switch sa string, at dalawang set ng differential protection para sa pangunahing katawan ng transformer Ang quick-break na elemento ay gumagana upang putulin ang mga switch sa bawat panig ng pangunahing transpormer; ang split-phase current differential protection sa magkabilang gilid ng tie line ay pinuputol ang B phase ng kaukulang side switch, at pagkatapos ay magtagumpay ang single-phase reclosing.
3) Nakatutuwang inrush blocking element: Kapag ang airdrop transformer at ang short circuit sa labas ng transformer area ay naputol, isang malaking kapana-panabik na inrush current ang bubuo. Upang maiwasan ang differential current na dulot ng kapana-panabik na inrush current na magdulot ng madepektong paggawa ng device, isang inrush current blocking element ay naka-set up para sa longitudinal difference protection, gamit ang waveform distortion ( Intermittent o asymmetric differential current waveform), harmonic component identification ( pangalawa o pangatlong maharmonya na nilalaman), malabo na pagkakakilanlan ng paggulo sa pagpasok ng kasalukuyang. Gayunpaman, kapag ang transformer ay aktwal na naka-airdrop, lalo na para sa unang airdrop, ang differential protection ay hindi pa rin gumana dahil sa hindi sapat na degaussing ng pangunahing katawan, at ang harmonic na nilalaman ng airdrop na differential current ay maaaring mas mababa kaysa sa harmonic component blocking threshold. Upang sa panimula ay maalis ang impluwensya ng natitirang magnetism sa transpormador na walang laman na pagsingil, maaari tayong gumawa ng mga hakbang sa pag-degaussing at magsagawa ng isa pang walang laman na pagsingil, o pansamantalang babaan ang pangalawang harmonic blocking threshold upang matiyak ang normal na operasyon ng pangunahing transpormer.
4) CT disconnection element: Kapag ang pangalawang bahagi ng CT ay nadiskonekta, ang differential current ay ang load current ng disconnection phase, at ang proteksyon ay maaaring hindi gumana. Sa oras na ito, ang kasalukuyang zero-sequence, pagbabago ng kasalukuyang bahagi, abnormal na biglaang pagbaba ng boltahe ng phase, atbp. ay maaaring gamitin upang hatulan ang pagtatanggal ng CT.
5) CT saturation blocking element: Kapag nagkaroon ng external fault, ang CT saturation ay magsasanhi ng differential protection sa malfunction, kaya ang protection device ay nilagyan ng CT saturation blocking detection element. Kapag saturated ang CT, nangyayari ang differential current pagkatapos ma-saturated ang CT sa loob ng isang yugto ng panahon, kaya ginagamit ng device ang timing consistency ng braking current at ang differential current upang hatulan kung saturated ang CT. Bilang karagdagan, upang mabawasan ang epekto ng CT saturation sa transpormer longitudinal differential protection, kasalukuyang mga transformer na may tumpak na limit factor (ALF) at mas mataas na rate ng inflection point boltahe (18 item countermeasures 15.1.12).
Bahagi 3: Panimula sa iba pang proteksyon sa kaugalian
1.
split side differential protection
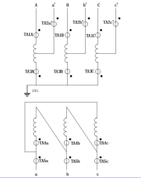
Ang split-side differential protection ay isang differential protection na kumukuha ng Y-side winding ng transformer bilang protektadong bagay, at binubuo ng una at huling CT ng mga windings sa bawat panig ayon sa phase. Ang pagkuha sa self-coupling phase A sa Figure 5 bilang isang halimbawa, ang proteksyon ay binubuo ng TA1A, TA2a' at TA3A. Ayon sa kasalukuyang batas ni Kirchhoff, walang electromagnetic coupling na relasyon sa pagitan ng mga agos sa magkabilang dulo, kaya ang proteksyon ay hindi nangangailangan ng inrush current blocking elements, differential snap-action elements at over-excitation blocking elements. Bilang karagdagan, ang nakapirming halaga ng kasalukuyang operating ng split-side differential protection ay mas mababa, at ang sensitivity ay mas mataas kaysa sa longitudinal differential protection. Ngunit ang kawalan ng proteksyon na ito ay hindi nito maprotektahan ang inter-turn short circuit.

2.
Split phase differential protection
Ang Phase-splitting differential protection ay isang differential protection na kumukuha sa bawat phase winding ng transformer bilang protektadong bagay, at binubuo ng mga CT sa bawat panig ng bawat phase winding. halimbawa). Ang proteksyon na ito ay maaaring magpakita ng lahat ng mga pagkakamali ng isang tiyak na yugto ng transpormer maliban sa mababang boltahe sa gilid na mga lead, ngunit kinakailangan ang isang inrush current blocking element.
3.
Proteksyon ng cell differential sa mababang boltahe na bahagi
Dahil ang phase-splitting differential protection ay walang proteksyon na saklaw para sa mga lead wire sa mababang boltahe na bahagi, ang cell differential ay ipinakilala bilang pandagdag sa phase-splitting differential. Ang differential protection ng low-voltage side community ay binubuo ng internal CT ng triangular two-phase winding sa low-voltage side at ang CT na sumasalamin sa differential current ng two-phase winding. Inrush blocking element, ngunit hindi tumutugon sa turn-to-turn faults.
4.
Zero sequence differential protection
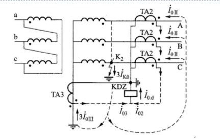
Ang zero-sequence differential protection ay binubuo ng zero-sequence current transformer sa neutral point side ng transformer at zero-sequence circuits ng kasalukuyang transformer sa star side ng transformer. Ang mga figure 6 at 7 ay ang kasalukuyang mga loop kapag ang mga ground fault ay nangyari sa labas ng zone at sa loob ng zone, ayon sa pagkakabanggit. Katulad nito, ang mga pangalawang agos ng proteksyon na ito ay walang electromagnetic coupling na relasyon, kaya ang proteksyon na aparato ay hindi nangangailangan ng isang elemento ng pag-block ng kasalukuyang pagpasok ng paggulo o isang elemento ng pagharang sa labis na paggulo; sa parehong oras, ito ay mas sensitibo sa grounding fault ng transformer winding. Gayunpaman, maaari lamang ipakita ng zero-sequence differential protection ang internal ground fault ng mataas at katamtamang boltahe na bahagi, at hindi mapoprotektahan ang inter-turn short circuit.


KONTAKIN KAMI
Samantalahin ang aming walang kapantay na kaalaman at karanasan, nag-aalok kami sa iyo ng pinakamahusay na serbisyo sa pagpapasadya.
.
MAG-IWAN NG MENSAHE
Pakipuno at isumite ang form sa ibaba, makikipag-ugnayan kami sa iyo sa loob ng 48 oras, salamat!
REKOMENDADO
Ang lahat ng mga ito ay ginawa ayon sa pinakamahigpit na internasyonal na pamantayan. Ang aming mga produkto ay nakatanggap ng pabor mula sa parehong lokal at dayuhang pamilihan.